
Zastanawiasz się ile to jest do potęgi drugiej? Poznaj zasady potęgowania, praktyczne przykłady i szybkie sposoby obliczania. Naucz się mnożyć liczby dodatnie i ujemne bez problemu.
Hej! Tutaj dzielę się moją miłością do kinematografii, seriale to moja druga natura. Odkryj ze mną fascynujący świat filmów i seriali, analizuję, recenzuję, inspiruję. Znajdziesz tu magię ekranu i mnóstwo inspiracji.

Zastanawiasz się ile to jest do potęgi drugiej? Poznaj zasady potęgowania, praktyczne przykłady i szybkie sposoby obliczania. Naucz się mnożyć liczby dodatnie i ujemne bez problemu.

Sprawdź ile dokładnie wynosi wypłata na rękę z wynagrodzenia 2730 brutto. Porównaj wysokość zarobków netto na umowie o pracę, zlecenie i dzieło. Poznaj szczegółowe wyliczenia.

Dowiedz się, co to jest anty HIV i ile kosztuje wykonanie testu. Sprawdź aktualne ceny badań w laboratoriach, przychodniach oraz poznaj możliwości bezpłatnej diagnostyki w Polsce.

Odkryj świat męskich butów Balenciaga! Czy to szaleństwo, czy modowa rewolucja? Poznaj historię, kontrowersje i innowacje kryjące się za tymi kultowymi sneakersami. Sprawdź, jak nosić buty Balenciaga z klasą!

Odkryj wstrząsającą historię obozu Bergen-Belsen. Od początków po wyzwolenie, poznaj losy więźniów i świadków. Bergen-Belsen obóz - symbol nazistowskiego okrucieństwa i lekcja dla przyszłych pokoleń.

Naucz się jak szybko obliczyć liczbę do potęgi trzeciej używając prostych metod. Poznaj wzory na potęgowanie, praktyczne przykłady i skuteczne techniki obliczania w pamięci. Szybko i skutecznie!

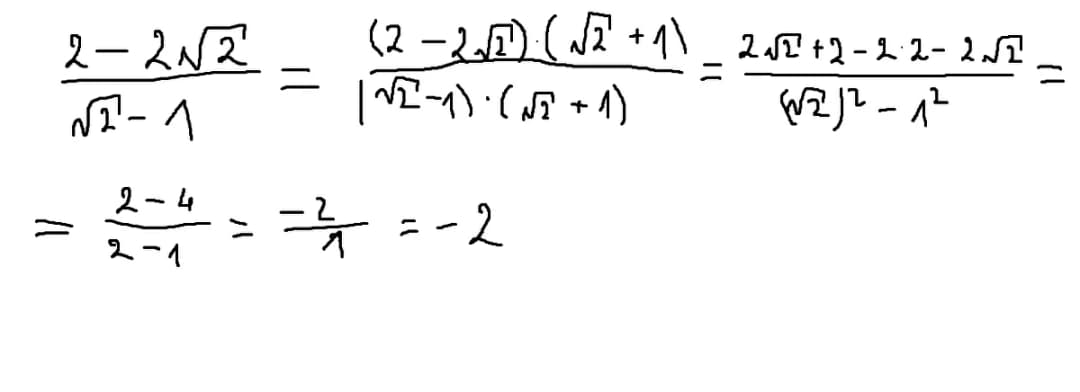
Dowiedz się jak obliczyć ile to jest 2 pierwiastki z 2 z naszym przystępnym wyjaśnieniem. Przedstawiamy krok po kroku metodę obliczania wartości wyrażenia 2√2, wraz z dokładnym wynikiem.

Zastanawiasz się czy 50 ml wody to ile to jest? Poznaj dokładne przeliczniki na litry, łyżki i szklanki. Dowiedz się jak precyzyjnie odmierzać płyny w kuchni bez specjalnych miarek.

Odkryj 5 zaskakujących sposobów na to, jak wiązać bandanę na głowie! Od klasycznego stylu po modny turban - naucz się, jak efektownie zawiązać bandanę i odmienić swój look.

Poznaj skuteczne metody jak zachować fryzurę i strój jako top style. Naucz się profesjonalnie dobierać stylizacje do różnych okazji i stwórz spójny, elegancki wizerunek zgodny z najnowszymi trendami.