
Roczna pensja w policji: pełny przegląd zarobków funkcjonariuszy
Sprawdź aktualną roczną pensję w policji i zarobki na różnych stanowiskach. Poznaj składniki wynagrodzenia, wysokość dodatków oraz planowane podwyżki na 2024 rok.
Jestem Ewa, a kino i telewizja to obszary, które uwielbiam od dziecka. Tutaj znajdziecie recenzje najnowszych produkcji filmowych i serialowych, analizy fabuł oraz refleksje na temat różnorodnych aspektów rozrywki.

Sprawdź aktualną roczną pensję w policji i zarobki na różnych stanowiskach. Poznaj składniki wynagrodzenia, wysokość dodatków oraz planowane podwyżki na 2024 rok.

Zastanawiasz się co to jest i ile kosztuje płyn micelarny? Poznaj podstawowe informacje o tym kosmetyku, jego działanie oraz aktualne ceny różnych marek dostępnych na rynku.

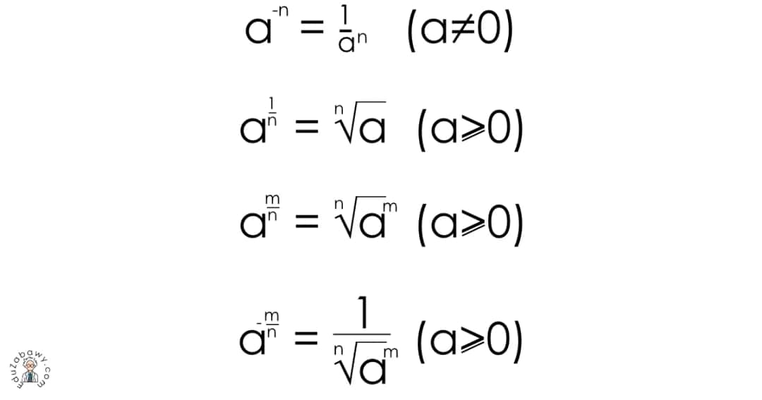
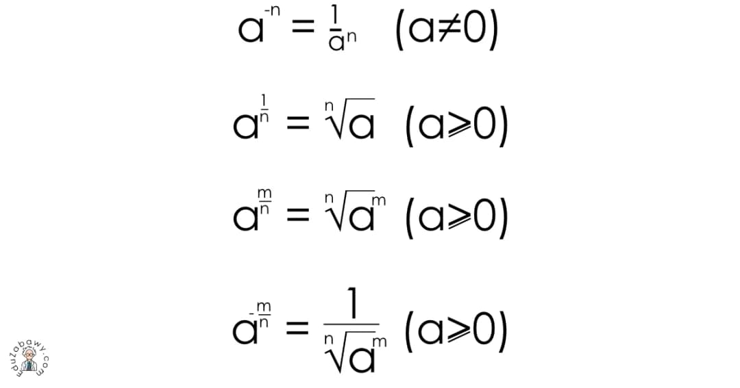
Sprawdź ile to jest liczba 2 podniesiona do potęgi i naucz się bezbłędnie wykonywać potęgowanie dwójki. Poznaj praktyczne przykłady i proste metody obliczania krok po kroku.

Odkryj różnice między polskimi a hiszpańskimi sukniami ślubnymi. Poznaj unikalne cechy, trendy i wpływ kultury na wybór sukni. Polskie suknie ślubne vs hiszpańska pasja - która tradycja Cię zachwyci?

Dowiedz się co to jest masskrug - tradycyjny kufel do piwa prosto z Niemiec. Sprawdź aktualne ceny w sklepach i na Oktoberfest oraz poznaj jego wyjątkowe właściwości.

Zastanawiasz się, czy liczby w życiu naprawdę mają znaczenie? Poznaj prawdę o tym, jak wiek to tylko cyfra, która nie powinna ograniczać Twoich marzeń i możliwości rozwoju.

Poznaj aktualne style ubioru nastolatków, od streetwearu po vintage. Sprawdź, jakie trendy dominują w modzie młodzieżowej i jak pomóc nastolatkowi wyrazić siebie poprzez ubiór.

Dowiedz się co to jest 1 jednostka krwi i ile dokładnie wynosi jej objętość. Sprawdź z jakich składników się składa oraz poznaj jej zastosowanie w medycynie. Szczegółowe informacje!

Odkryj prawdę o podgrzewaczach do tytoniu. Czy to rzeczywisty przełom w walce z nałogiem, czy nowa pułapka uzależnienia? Poznaj fakty, zalety i wady tej kontrowersyjnej technologii.

Zastanawiasz się jak power bank ma 4000mAh to na ile jest doładowań? Sprawdź realną wydajność, poznaj dokładne obliczenia i dowiedz się, ile razy naładujesz swój telefon.