Naucz się jak ustawić który to jest slajd i ile zostało w swojej prezentacji. Poznaj proste sposoby numerowania slajdów w PowerPoint i Google Prezentacje. Profesjonalne wskazówki krok po kroku.
Najnowsze artykuły - Strona 20
Sprawdź co to jest rekuperacja domu i ile kosztuje jej montaż w 2025 roku. Poznaj ceny instalacji, koszty eksploatacji oraz okres zwrotu z inwestycji w system wentylacji mechanicznej.
Poznaj najważniejsze cechy charakterystyczne stylu vintage i naucz się bezbłędnie rozpoznawać prawdziwe przedmioty z minionych dekad. Sprawdzone wskazówki i praktyczne porady.
Dowiedz się jak zobaczyć ile to jest cali miarą i bez problemu dokonać precyzyjnego pomiaru. Praktyczne wskazówki i proste przeliczenia dla każdego. Naucz się mierzyć w calach już dziś!
Sprawdź ile wynosi 1 dolar w przeliczeniu na zł według aktualnego kursu. Porównaj ceny w kantorach i bankach, poznaj aktualne notowania USD/PLN i wybierz najlepszą opcję wymiany waluty.
Poznaj zasady przyznawania emerytury pomostowej - sprawdź komu przysługuje oraz ile wynosi w 2025 roku. Wszystkie informacje dla pracujących w szczególnych warunkach.
Dowiedz się jak się ubrać na wesele w stylu boho! Poznaj sprawdzone stylizacje, dobierz idealną sukienkę i dodatki. Praktyczne wskazówki dla gości i świadkowych na każdą porę roku.
Szukasz inspiracji na imprezę w stylu Hollywood? Poznaj zasady doboru sukni, garnituru i dodatków. Sprawdź, jak stworzyć perfekcyjną stylizację godną czerwonego dywanu i poczuj się jak prawdziwa gwiazda.
Dowiedz się jak wyliczyć ile to jest 1/8 spadku po wujku krok po kroku. Praktyczny kalkulator pomoże Ci obliczyć dokładną wartość swojego udziału w spadku z uwzględnieniem wszystkich kosztów.
Odkryj fascynującą historię Śnieżki królowej! Od baśni po kulturę popularną, poznaj ewolucję tej ikonicznej postaci i jej wpływ na literaturę oraz film. Zanurz się w magicznym świecie Śnieżki.
Naucz się jak obliczyć 19 osób ze stu ile to jest procent używając prostego wzoru matematycznego. Praktyczny przykład z wyjaśnieniem krok po kroku i wskazówkami.
Odkryj 5 kreatywnych trików ze spinką do włosów, które odmienią Twoją fryzurę! Od eleganckiego koka po nowoczesne upięcia - spinka z włosami to klucz do stylowej metamorfozy. Zainspiruj się i stwórz wyjątkowy look!
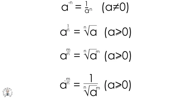
Dowiedz się jak wyliczyć ile to jest 1/8 za pomocą prostych metod. Poznaj sposoby obliczania ułamka jedna ósma na liczby dziesiętne i procenty. Sprawdzone metody krok po kroku.
Dowiedz się, co oznacza ocena 4 w e-dzienniku i poznaj pełen system oceniania w szkole. Sprawdź kryteria oceny dobrej, progi procentowe oraz znaczenie plusów i minusów przy stopniach.
Sprawdź dokładną kaloryczność wina Carlo Rossi Pomegranate w różnych objętościach. Poznaj wartości odżywcze i porównaj z innymi winami owocowymi. Pomożemy Ci świadomie wybrać!
Poznaj 3 niezawodne metody jak sprawdzić ile komputerów podłączonych jest do sieci. Skorzystaj z panelu routera, programów skanujących lub prostych komend systemowych.
Poznaj 8 sprawdzonych zasad jak połączyć styl nowoczesny ze starym. Praktyczne wskazówki dotyczące doboru mebli, kolorów i proporcji. Stwórz harmonijne wnętrze łączące vintage z nowoczesnością.
Dowiedz się co to jest azulan i ile kosztuje ten popularny lek. Poznaj jego właściwości, działanie oraz wskazania do stosowania. Sprawdź cenę i dostępność w aptekach.
Odkryj szokujące momenty w Ślepnąc od świateł odc. 6! Zwroty akcji, kontrowersyjne decyzje i brutalne sceny, które wstrząsnęły widzami. Poznaj tajemnice, które zmieniły wszystko.
Sprawdź co to jest pelet i ile kosztuje tona tego peletu w Polsce. Poznaj aktualne ceny peletu premium i przemysłowego. Porównaj oferty wiodących producentów i wybierz najlepszą dla siebie.
Zastanawiasz się ile to jest bilion w amerykańskim systemie liczenia? Poznaj kluczowe różnice między amerykańskim a polskim systemem oraz naucz się unikać kosztownych pomyłek w obliczeniach.
Poznaj historię 150 psalmów biblijnych, ich autorów oraz znaczenie w tradycji chrześcijańskiej. Dowiedz się, kiedy powstały i dlaczego król Dawid nie jest jedynym autorem tych wyjątkowych tekstów.
Dowiedz się, jak prawidłowo smażyć olej w garnku aby uzyskać idealną temperaturę. Sprawdź optymalne temperatury dla różnych olejów i poznaj sposoby na bezpieczne smażenie w domu.
Dowiedz się, jak sprawdzić ile to jest rozmiar 16 pierścionka oraz poznaj dokładne wymiary w milimetrach. Sprawdź tabelę rozmiarów i metody precyzyjnego pomiaru w domu.